
Top stories






More news












Marketing & Media
Creative Futures Africa Summit: From unseen to unstoppable

















In an environment where audience figures remain in decline, some stations have managed to buck the trend. With radio listening in general down significantly on the previous RAMS period, Gagasi 99.5 has managed to push through the million mark, significantly boosting its audience year on year. The station's audience numbered 640 000 adults aged 16+ a year ago, giving it a national penetration of 2.1% (SAARF RAMS July 2006). The latest RAMS sees Gagasi 99.5 topping a million listeners, with an audience figure of 1.040 million, and a national reach of 3.4% (past seven days).
Since switching to FM transmitters, Talk Radio 702 has also shown steady growth, significantly growing its July 2006 audience of 282 000, or 0.9% (past seven day) to 408 000 (1.3%) in the latest RAMS release.
For other stations however, there has been a general downward period-on-period movement, although current figures are similar to those of a year previous.
Overall radio listening has decreased significantly for Monday to Friday, Saturday and Sunday, while seven-day listening has remained stable, and is significantly up on the year previous.
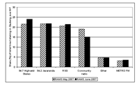
Individual station movements have been minimal, with many holding steady, and a number of downward trends starting to develop. Total community is down to levels of a year ago, with 20.3% penetration (past seven days).
In total, time spent listening per week and per day has decreased once again. In July 2006, weekly listening stood at 32 hours and 24 minutes. SAARF RAMS June 2007 now puts weekly listening at 30 hours and 57 minutes. Daily listening is also down, from four hours, 37 minutes in July 2006, to four hours, 25 minutes in June 2007. These declines can be seen across all provinces.
Radio stations not only vie for listeners, but also for share of time spent listening. In Gauteng, a look at the top five stations for each language group shows the gains and losses which the province's most listened-to stations have experienced over the previous RAMS survey (RAMS May 2007 versus RAMS June 2007).
In English-speaking households:
In Afrikaans-speaking households:
In Nguni-speaking households:
In Sotho-speaking households:
The significant changes seen in the profile of radio listeners shows the steady improvement in the living standard of South Africans.
There have been significant declines in the percentage of radio listeners in SU-LSM 1, 4 and 5, while the SU-LSM 6 and 7 groups have grow (average M-F RAMS July 2006 versus RAMS June 2007).
RAMS June 2007 technical points